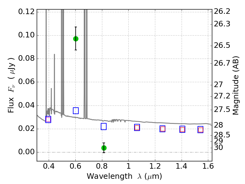
RXS0603+42-S IR detection object #4555

Color images and BPZ results
Catalog: 4555.cat
Black segments are analyzed here.   Roll mouse over color images to view segments.
Best viewed in a wide browser window (1200 pixels or more).   Download SED & P(z) plots to view larger versions.
In P(z) plots: Yellow lines mark the cluster redshift z = 0.228,  

Object #4555   x,y = (3973, 2318)   RA, Dec = (06:03:18.456, 42:09:45.36) = (90.82690, 42.16260)   BPZ = 0.025 [0.017--3.097]   type = 11.00 (SB11_A_0_l)   stellarity = 0.75   chisq2 = 52.48   ODDS = 0.14   z_cluster = 0.228