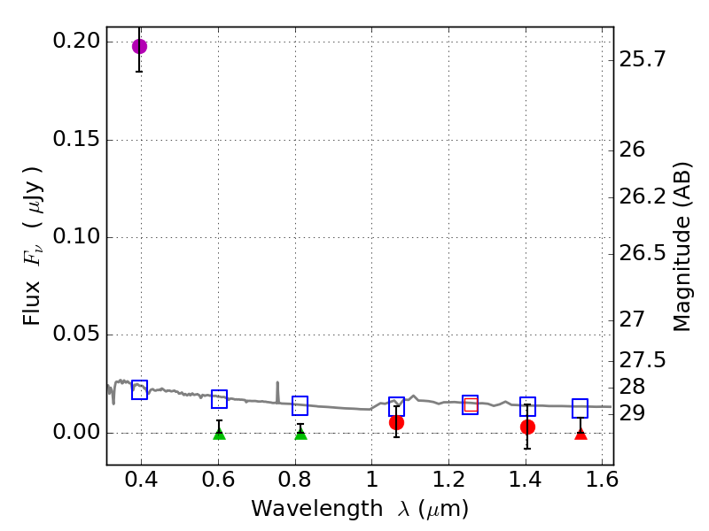
RXS0603+42-S IR detection object #4534

Color images and BPZ results
Catalog: 4534.cat
Black segments are analyzed here.   Roll mouse over color images to view segments.
Best viewed in a wide browser window (1200 pixels or more).   Download SED & P(z) plots to view larger versions.
In P(z) plots: Yellow lines mark the cluster redshift z = 0.228,  

Object #4534   x,y = (2727, 2329)   RA, Dec = (06:03:25.200, 42:09:46.08) = (90.85500, 42.16280)   BPZ = 1.699 [1.084--2.212]   type = 11.00 (SB11_A_0_l)   stellarity = 0.68   chisq2 = 64.93   ODDS = 0.48   z_cluster = 0.228