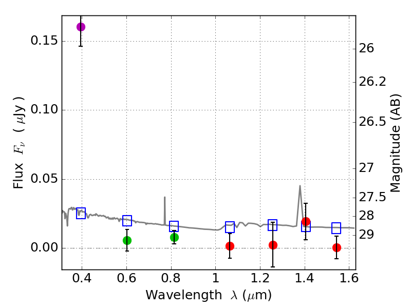
RXS0603+42-S IR detection object #4499

Color images and BPZ results
Catalog: 4499.cat
Black segments are analyzed here.   Roll mouse over color images to view segments.
Best viewed in a wide browser window (1200 pixels or more).   Download SED & P(z) plots to view larger versions.
In P(z) plots: Yellow lines mark the cluster redshift z = 0.228,  

Object #4499   x,y = (3015, 2344)   RA, Dec = (06:03:23.640, 42:09:46.80) = (90.84850, 42.16300)   BPZ = 1.761 [0.930--2.344]   type = 11.00 (SB11_A_0_l)   stellarity = 0.49   chisq2 = 24.48   ODDS = 0.38   z_cluster = 0.228