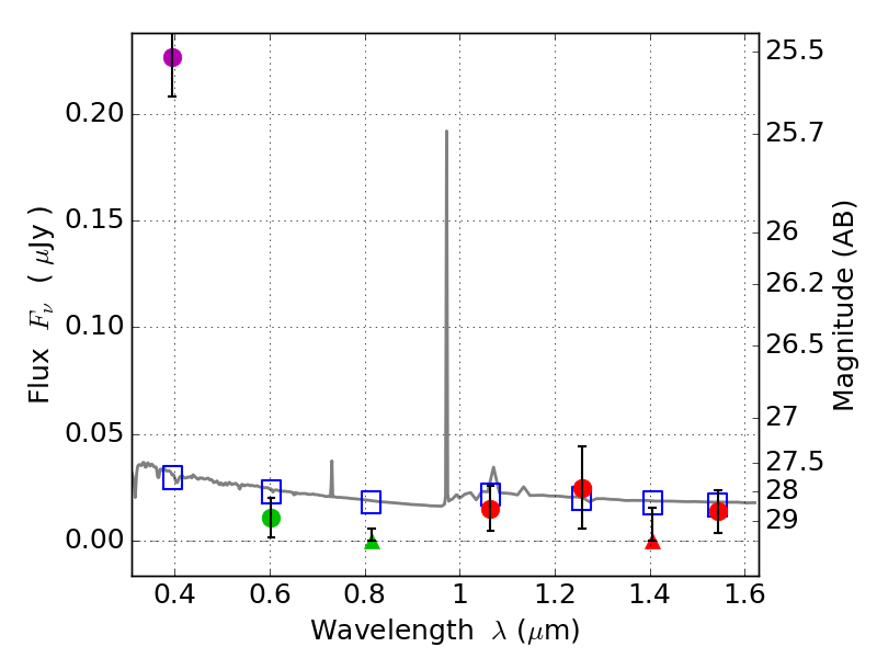
RXS0603+42-S IR detection object #4165

Color images and BPZ results
Catalog: 4165.cat
Black segments are analyzed here.   Roll mouse over color images to view segments.
Best viewed in a wide browser window (1200 pixels or more).   Download SED & P(z) plots to view larger versions.
In P(z) plots: Yellow lines mark the cluster redshift z = 0.228,  

Object #4165   x,y = (3088, 2474)   RA, Dec = (06:03:23.232, 42:09:54.72) = (90.84680, 42.16520)   BPZ = 1.612 [1.110--2.264]   type = 11.00 (SB11_A_0_l)   stellarity = 0.66   chisq2 = 30.49   ODDS = 0.35   z_cluster = 0.228