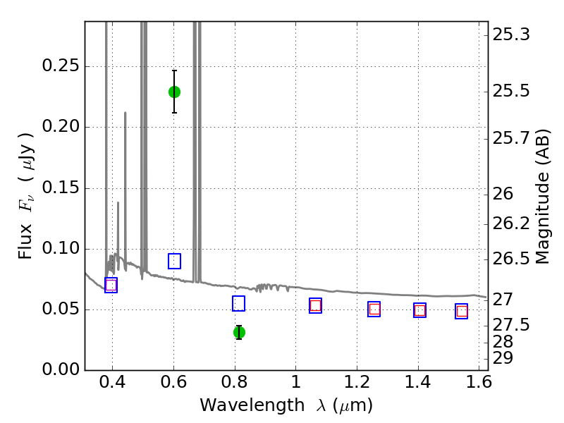
RXS0603+42-S IR detection object #413

Color images and BPZ results
Catalog: 413.cat
Black segments are analyzed here.   Roll mouse over color images to view segments.
Best viewed in a wide browser window (1200 pixels or more).   Download SED & P(z) plots to view larger versions.
In P(z) plots: Yellow lines mark the cluster redshift z = 0.228,  

Object #413   x,y = (2681, 4161)   RA, Dec = (06:03:25.440, 42:11:35.88) = (90.85600, 42.19330)   BPZ = 0.021 [0.010--1.873]   type = 11.00 (SB11_A_0_l)   stellarity = 0.86   chisq2 = 65.30   ODDS = 0.95   z_cluster = 0.228