RXS0603+42-S IR detection object #4039

Color images and BPZ results
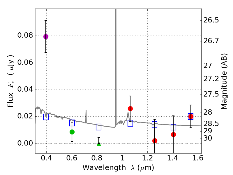
Catalog: 4039.cat
Black segments are analyzed here.   Roll mouse over color images to view segments.
Best viewed in a wide browser window (1200 pixels or more).   Download SED & P(z) plots to view larger versions.
In P(z) plots: Yellow lines mark the cluster redshift z = 0.228,  

Object #4039   x,y = (3464, 2558)   RA, Dec = (06:03:21.216, 42:09:59.76) = (90.83840, 42.16660)   BPZ = 1.555 [0.782--2.473]   type = 11.00 (SB11_A_0_l)   stellarity = 0.39   chisq2 = 8.53   ODDS = 0.23   z_cluster = 0.228