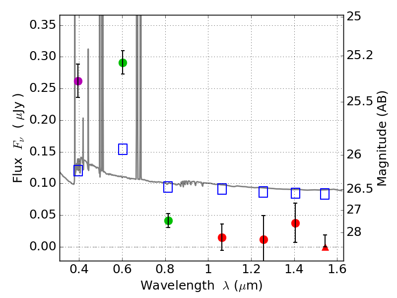
RXS0603+42-S IR detection object #4029

Color images and BPZ results
Catalog: 4029.cat
Black segments are analyzed here.   Roll mouse over color images to view segments.
Best viewed in a wide browser window (1200 pixels or more).   Download SED & P(z) plots to view larger versions.
In P(z) plots: Yellow lines mark the cluster redshift z = 0.228,  

Object #4029   x,y = (3617, 2563)   RA, Dec = (06:03:20.376, 42:10:00.12) = (90.83490, 42.16670)   BPZ = 0.019 [0.010--0.044]   type = 11.00 (SB11_A_0_l)   stellarity = 0.36   chisq2 = 27.77   ODDS = 1.00   z_cluster = 0.228