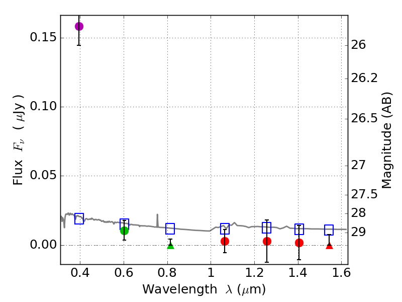
RXS0603+42-S IR detection object #3856

Color images and BPZ results
Catalog: 3856.cat
Black segments are analyzed here.   Roll mouse over color images to view segments.
Best viewed in a wide browser window (1200 pixels or more).   Download SED & P(z) plots to view larger versions.
In P(z) plots: Yellow lines mark the cluster redshift z = 0.228,  

Object #3856   x,y = (3291, 2655)   RA, Dec = (06:03:22.152, 42:10:05.52) = (90.84230, 42.16820)   BPZ = 1.700 [0.840--2.448]   type = 11.00 (SB11_A_0_l)   stellarity = 0.39   chisq2 = 26.97   ODDS = 0.35   z_cluster = 0.228