RXS0603+42-S IR detection object #3818

Color images and BPZ results
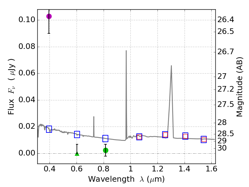
Catalog: 3818.cat
Black segments are analyzed here.   Roll mouse over color images to view segments.
Best viewed in a wide browser window (1200 pixels or more).   Download SED & P(z) plots to view larger versions.
In P(z) plots: Yellow lines mark the cluster redshift z = 0.228,  

Object #3818   x,y = (1300, 2677)   RA, Dec = (06:03:32.904, 42:10:06.96) = (90.88710, 42.16860)   BPZ = 1.596 [0.628--3.177]   type = 11.00 (SB11_A_0_l)   stellarity = 0.39   chisq2 = 50.37   ODDS = 0.19   z_cluster = 0.228