RXS0603+42-S IR detection object #3783

Color images and BPZ results
Catalog: 3783.cat
Black segments are analyzed here.   Roll mouse over color images to view segments.
Best viewed in a wide browser window (1200 pixels or more).   Download SED & P(z) plots to view larger versions.
In P(z) plots: Yellow lines mark the cluster redshift z = 0.228,  

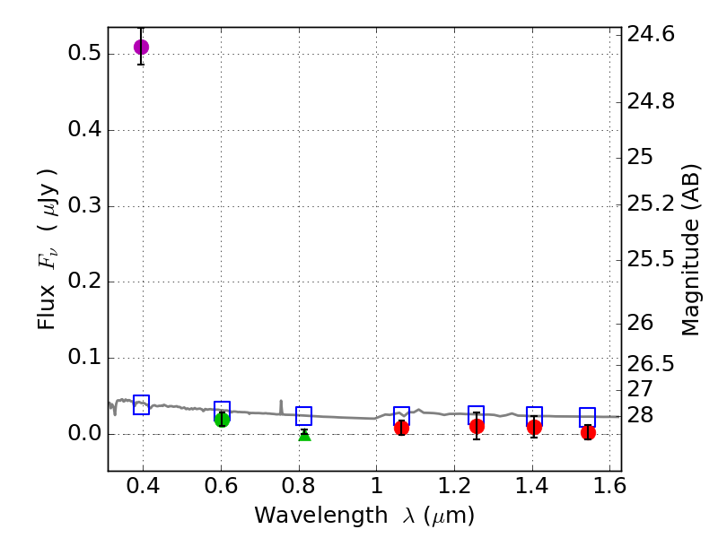
Object #3783   x,y = (2384, 2697)   RA, Dec = (06:03:27.048, 42:10:08.04) = (90.86270, 42.16890)   BPZ = 1.700 [1.449--2.107]   type = 11.00 (SB11_A_0_l)   stellarity = 0.74   chisq2 = 103.60   ODDS = 0.59   z_cluster = 0.228