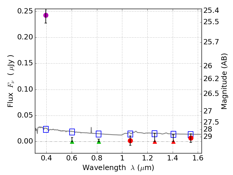
RXS0603+42-S IR detection object #3665

Color images and BPZ results
Catalog: 3665.cat
Black segments are analyzed here.   Roll mouse over color images to view segments.
Best viewed in a wide browser window (1200 pixels or more).   Download SED & P(z) plots to view larger versions.
In P(z) plots: Yellow lines mark the cluster redshift z = 0.228,  

Object #3665   x,y = (1866, 2760)   RA, Dec = (06:03:29.832, 42:10:12.00) = (90.87430, 42.17000)   BPZ = 1.700 [1.122--2.281]   type = 11.00 (SB11_A_0_l)   stellarity = 0.82   chisq2 = 53.35   ODDS = 0.40   z_cluster = 0.228