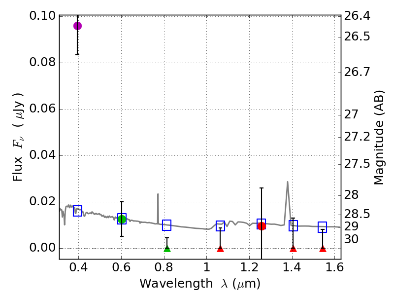
RXS0603+42-S IR detection object #3655

Color images and BPZ results
Catalog: 3655.cat
Black segments are analyzed here.   Roll mouse over color images to view segments.
Best viewed in a wide browser window (1200 pixels or more).   Download SED & P(z) plots to view larger versions.
In P(z) plots: Yellow lines mark the cluster redshift z = 0.228,  

Object #3655   x,y = (2971, 2764)   RA, Dec = (06:03:23.880, 42:10:12.36) = (90.84950, 42.17010)   BPZ = 1.762 [0.451--3.096]   type = 11.00 (SB11_A_0_l)   stellarity = 0.46   chisq2 = 11.72   ODDS = 0.23   z_cluster = 0.228