RXS0603+42-S IR detection object #3642

Color images and BPZ results
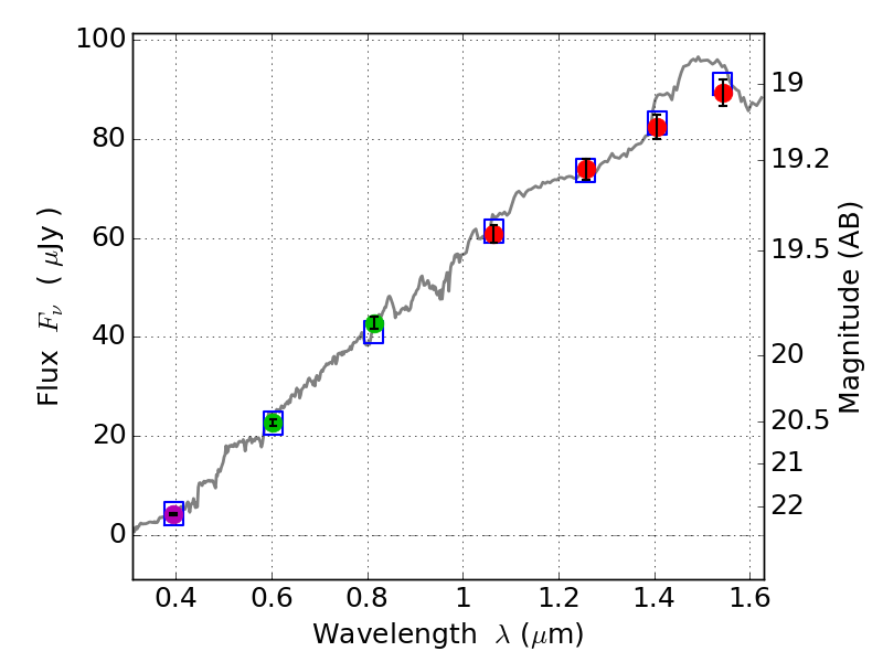
Catalog: 3642.cat
Black segments are analyzed here.   Roll mouse over color images to view segments.
Best viewed in a wide browser window (1200 pixels or more).   Download SED & P(z) plots to view larger versions.
In P(z) plots: Yellow lines mark the cluster redshift z = 0.228,  

Object #3642   x,y = (2839, 2736)   RA, Dec = (06:03:24.600, 42:10:10.56) = (90.85250, 42.16960)   BPZ = 0.118 [0.085--0.185]   type = 5.30 (ES0_B10 - Sbc_B10)   stellarity = 0.03   chisq2 = 0.05   ODDS = 0.89   z_cluster = 0.228