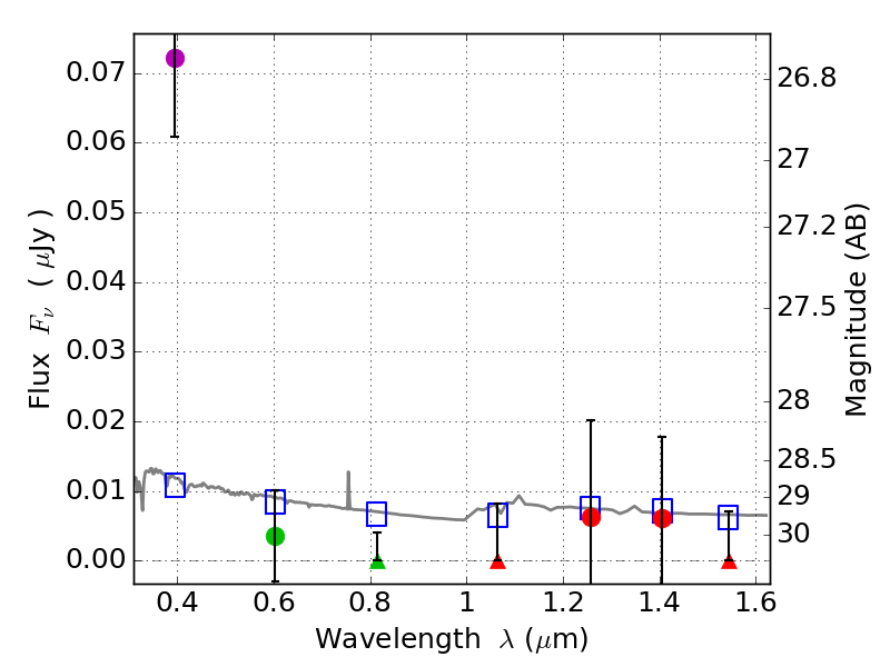
RXS0603+42-S IR detection object #3633

Color images and BPZ results
Catalog: 3633.cat
Black segments are analyzed here.   Roll mouse over color images to view segments.
Best viewed in a wide browser window (1200 pixels or more).   Download SED & P(z) plots to view larger versions.
In P(z) plots: Yellow lines mark the cluster redshift z = 0.228,  

Object #3633   x,y = (1753, 2778)   RA, Dec = (06:03:30.456, 42:10:13.08) = (90.87690, 42.17030)   BPZ = 1.697 [0.354--6.623]   type = 11.00 (SB11_A_0_l)   stellarity = 0.35   chisq2 = 8.45   ODDS = 0.13   z_cluster = 0.228