RXS0603+42-S IR detection object #3616

Color images and BPZ results
Catalog: 3616.cat
Black segments are analyzed here.   Roll mouse over color images to view segments.
Best viewed in a wide browser window (1200 pixels or more).   Download SED & P(z) plots to view larger versions.
In P(z) plots: Yellow lines mark the cluster redshift z = 0.228,  

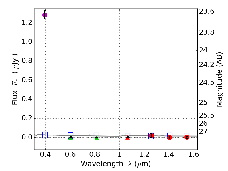
Object #3616   x,y = (2276, 2784)   RA, Dec = (06:03:27.624, 42:10:13.44) = (90.86510, 42.17040)   BPZ = 1.698 [0.900--2.340]   type = 11.00 (SB11_A_0_l)   stellarity = 0.65   chisq2 = 209.90   ODDS = 0.39   z_cluster = 0.228