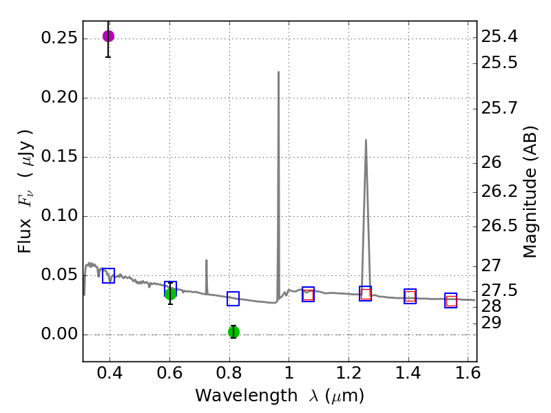
RXS0603+42-S IR detection object #3539

Color images and BPZ results
Catalog: 3539.cat
Black segments are analyzed here.   Roll mouse over color images to view segments.
Best viewed in a wide browser window (1200 pixels or more).   Download SED & P(z) plots to view larger versions.
In P(z) plots: Yellow lines mark the cluster redshift z = 0.228,  

Object #3539   x,y = (4016, 2812)   RA, Dec = (06:03:18.240, 42:10:14.88) = (90.82600, 42.17080)   BPZ = 1.594 [1.341--2.044]   type = 11.00 (SB11_A_0_l)   stellarity = 0.80   chisq2 = 138.00   ODDS = 0.44   z_cluster = 0.228