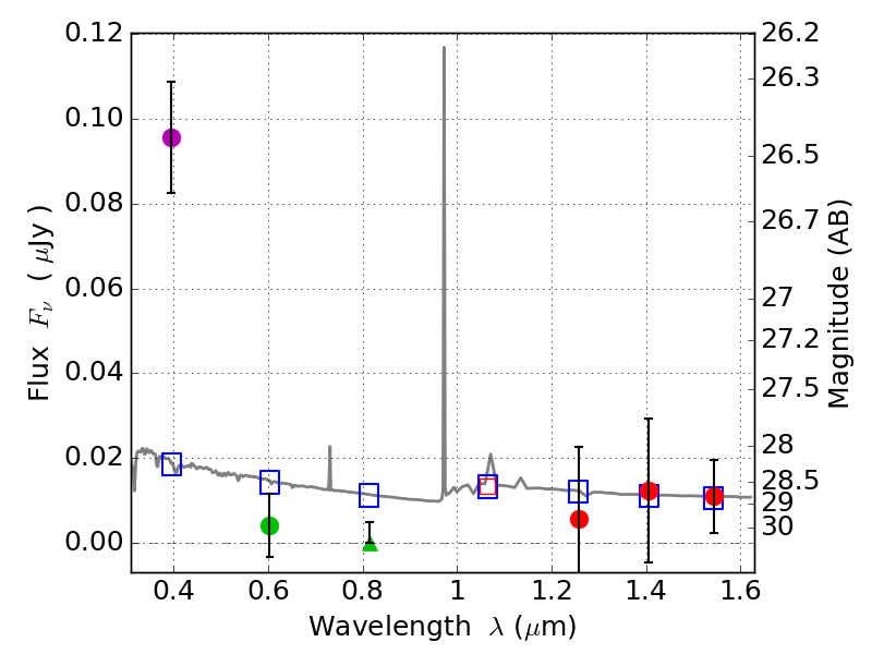
RXS0603+42-S IR detection object #3522

Color images and BPZ results
Catalog: 3522.cat
Black segments are analyzed here.   Roll mouse over color images to view segments.
Best viewed in a wide browser window (1200 pixels or more).   Download SED & P(z) plots to view larger versions.
In P(z) plots: Yellow lines mark the cluster redshift z = 0.228,  

Object #3522   x,y = (1920, 2819)   RA, Dec = (06:03:29.544, 42:10:15.60) = (90.87310, 42.17100)   BPZ = 1.611 [0.609--3.100]   type = 11.00 (SB11_A_0_l)   stellarity = 0.40   chisq2 = 13.81   ODDS = 0.19   z_cluster = 0.228