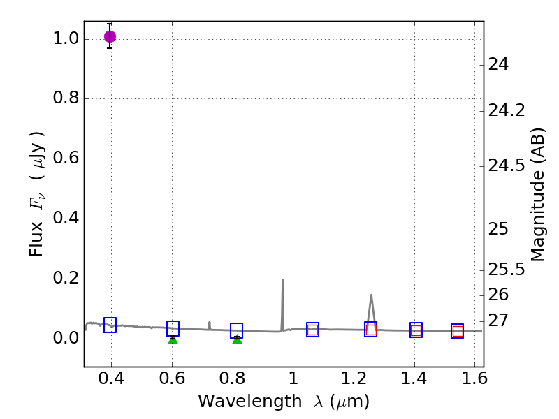
RXS0603+42-S IR detection object #3512

Color images and BPZ results
Catalog: 3512.cat
Black segments are analyzed here.   Roll mouse over color images to view segments.
Best viewed in a wide browser window (1200 pixels or more).   Download SED & P(z) plots to view larger versions.
In P(z) plots: Yellow lines mark the cluster redshift z = 0.228,  

Object #3512   x,y = (4092, 2820)   RA, Dec = (06:03:17.832, 42:10:15.60) = (90.82430, 42.17100)   BPZ = 1.594 [1.162--2.129]   type = 11.00 (SB11_A_0_l)   stellarity = 0.99   chisq2 = 580.60   ODDS = 0.35   z_cluster = 0.228