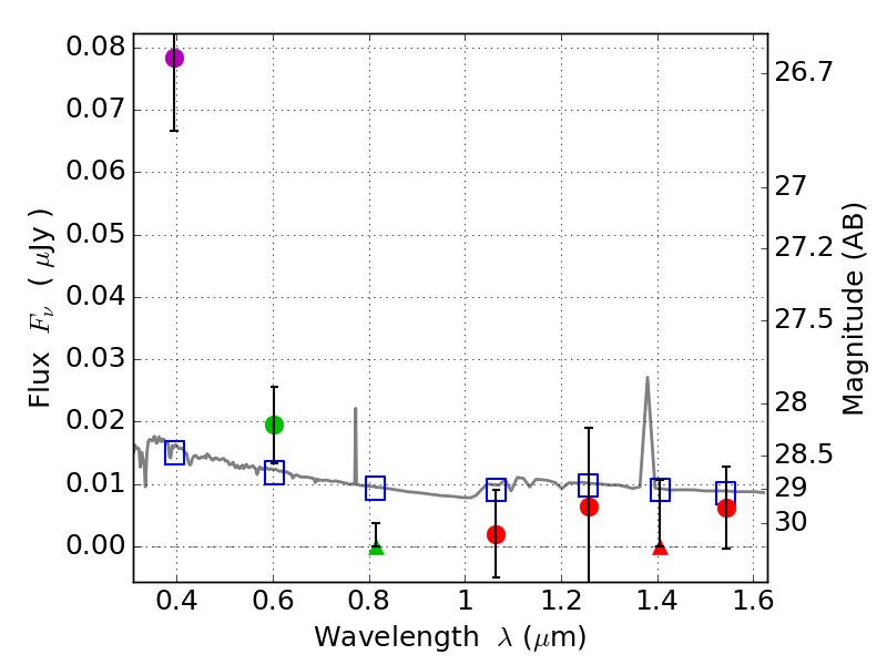
RXS0603+42-S IR detection object #3502

Color images and BPZ results
Catalog: 3502.cat
Black segments are analyzed here.   Roll mouse over color images to view segments.
Best viewed in a wide browser window (1200 pixels or more).   Download SED & P(z) plots to view larger versions.
In P(z) plots: Yellow lines mark the cluster redshift z = 0.228,  

Object #3502   x,y = (1982, 2830)   RA, Dec = (06:03:29.208, 42:10:15.96) = (90.87170, 42.17110)   BPZ = 1.763 [0.534--2.781]   type = 11.00 (SB11_A_0_l)   stellarity = 0.40   chisq2 = 9.54   ODDS = 0.23   z_cluster = 0.228