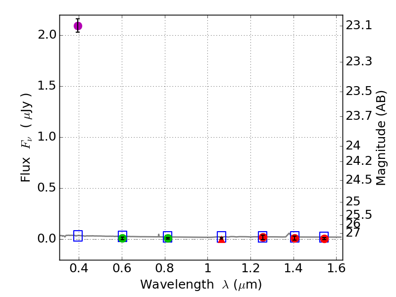
RXS0603+42-S IR detection object #3489

Color images and BPZ results
Catalog: 3489.cat
Black segments are analyzed here.   Roll mouse over color images to view segments.
Best viewed in a wide browser window (1200 pixels or more).   Download SED & P(z) plots to view larger versions.
In P(z) plots: Yellow lines mark the cluster redshift z = 0.228,  

Object #3489   x,y = (2004, 2833)   RA, Dec = (06:03:29.088, 42:10:16.32) = (90.87120, 42.17120)   BPZ = 1.762 [0.836--2.423]   type = 11.00 (SB11_A_0_l)   stellarity = 0.99   chisq2 = 242.30   ODDS = 0.34   z_cluster = 0.228