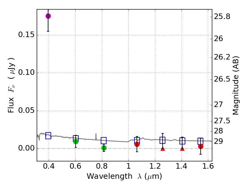
RXS0603+42-S IR detection object #3384

Color images and BPZ results
Catalog: 3384.cat
Black segments are analyzed here.   Roll mouse over color images to view segments.
Best viewed in a wide browser window (1200 pixels or more).   Download SED & P(z) plots to view larger versions.
In P(z) plots: Yellow lines mark the cluster redshift z = 0.228,  

Object #3384   x,y = (1939, 2881)   RA, Dec = (06:03:29.448, 42:10:19.20) = (90.87270, 42.17200)   BPZ = 1.701 [0.428--5.883]   type = 11.00 (SB11_A_0_l)   stellarity = 0.46   chisq2 = 16.30   ODDS = 0.16   z_cluster = 0.228