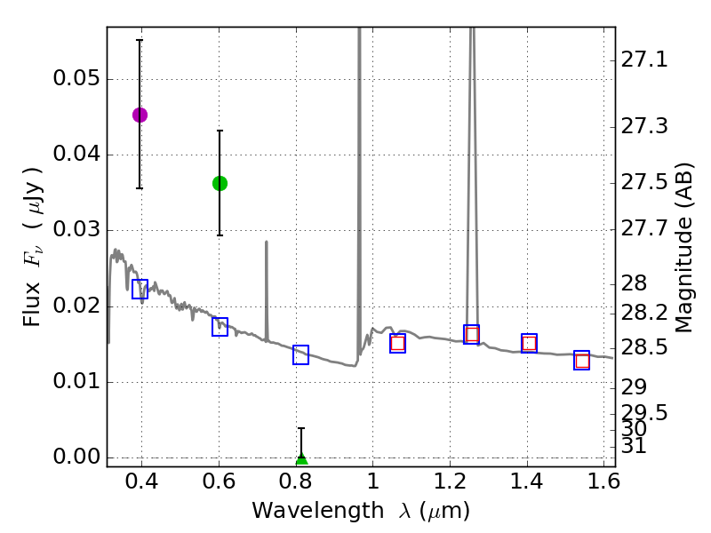
RXS0603+42-S IR detection object #3372

Color images and BPZ results
Catalog: 3372.cat
Black segments are analyzed here.   Roll mouse over color images to view segments.
Best viewed in a wide browser window (1200 pixels or more).   Download SED & P(z) plots to view larger versions.
In P(z) plots: Yellow lines mark the cluster redshift z = 0.228,  

Object #3372   x,y = (3810, 2889)   RA, Dec = (06:03:19.344, 42:10:19.56) = (90.83060, 42.17210)   BPZ = 1.595 [1.109--2.546]   type = 11.00 (SB11_A_0_l)   stellarity = 0.45   chisq2 = 23.34   ODDS = 0.25   z_cluster = 0.228