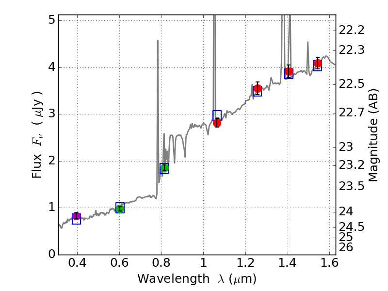
RXS0603+42-S IR detection object #3348

Color images and BPZ results
Catalog: 3348.cat
Black segments are analyzed here.   Roll mouse over color images to view segments.
Best viewed in a wide browser window (1200 pixels or more).   Download SED & P(z) plots to view larger versions.
In P(z) plots: Yellow lines mark the cluster redshift z = 0.228,  

Object #3348   x,y = (2501, 2896)   RA, Dec = (06:03:26.424, 42:10:19.92) = (90.86010, 42.17220)   BPZ = 1.104 [1.033--1.159]   type = 8.20 (SB1_B10 - SB2_B10)   stellarity = 0.00   chisq2 = 0.12   ODDS = 0.98   z_cluster = 0.228