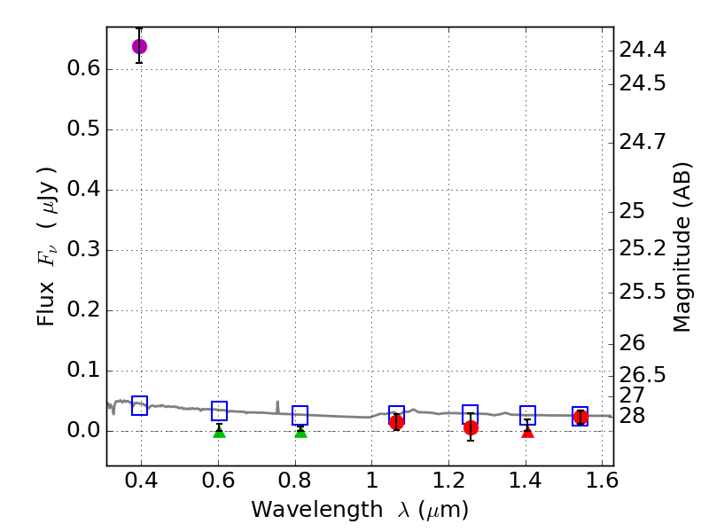
RXS0603+42-S IR detection object #3324

Color images and BPZ results
Catalog: 3324.cat
Black segments are analyzed here.   Roll mouse over color images to view segments.
Best viewed in a wide browser window (1200 pixels or more).   Download SED & P(z) plots to view larger versions.
In P(z) plots: Yellow lines mark the cluster redshift z = 0.228,  

Object #3324   x,y = (1665, 2916)   RA, Dec = (06:03:30.936, 42:10:21.36) = (90.87890, 42.17260)   BPZ = 1.701 [1.277--2.143]   type = 11.00 (SB11_A_0_l)   stellarity = 0.69   chisq2 = 109.10   ODDS = 0.46   z_cluster = 0.228