RXS0603+42-S IR detection object #3221

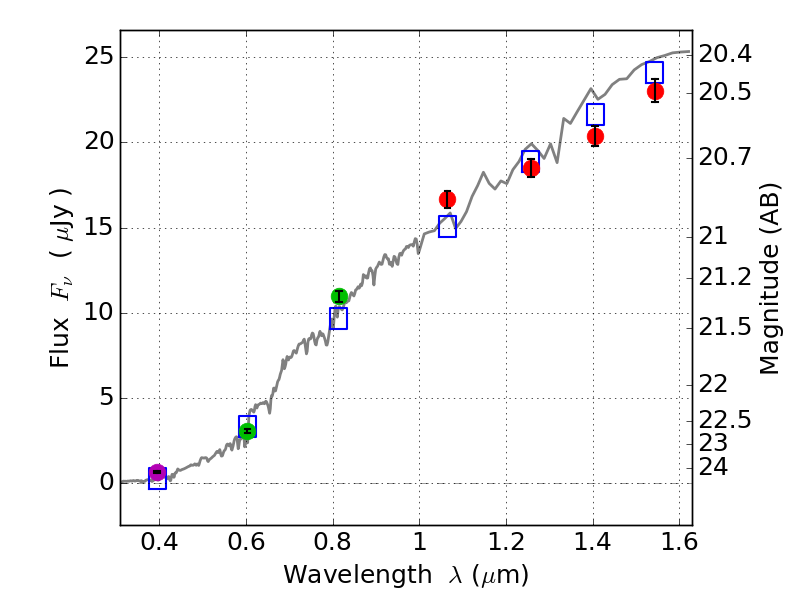
Color images and BPZ results
Catalog: 3221.cat
Black segments are analyzed here.   Roll mouse over color images to view segments.
Best viewed in a wide browser window (1200 pixels or more).   Download SED & P(z) plots to view larger versions.
In P(z) plots: Yellow lines mark the cluster redshift z = 0.228,  

Object #3221   x,y = (1957, 2981)   RA, Dec = (06:03:29.352, 42:10:25.32) = (90.87230, 42.17370)   BPZ = 0.520 [0.488--0.592]   type = 4.00 (Ell4_A_0)   stellarity = 0.99   chisq2 = 0.65   ODDS = 0.95   z_cluster = 0.228