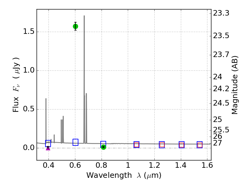
RXS0603+42-S IR detection object #3112

Color images and BPZ results
Catalog: 3112.cat
Black segments are analyzed here.   Roll mouse over color images to view segments.
Best viewed in a wide browser window (1200 pixels or more).   Download SED & P(z) plots to view larger versions.
In P(z) plots: Yellow lines mark the cluster redshift z = 0.228,  

Object #3112   x,y = (1393, 2997)   RA, Dec = (06:03:32.400, 42:10:26.04) = (90.88500, 42.17390)   BPZ = 0.023 [0.011--3.217]   type = 11.00 (SB11_A_0_l)   stellarity = 0.80   chisq2 = 833.00   ODDS = 0.62   z_cluster = 0.228