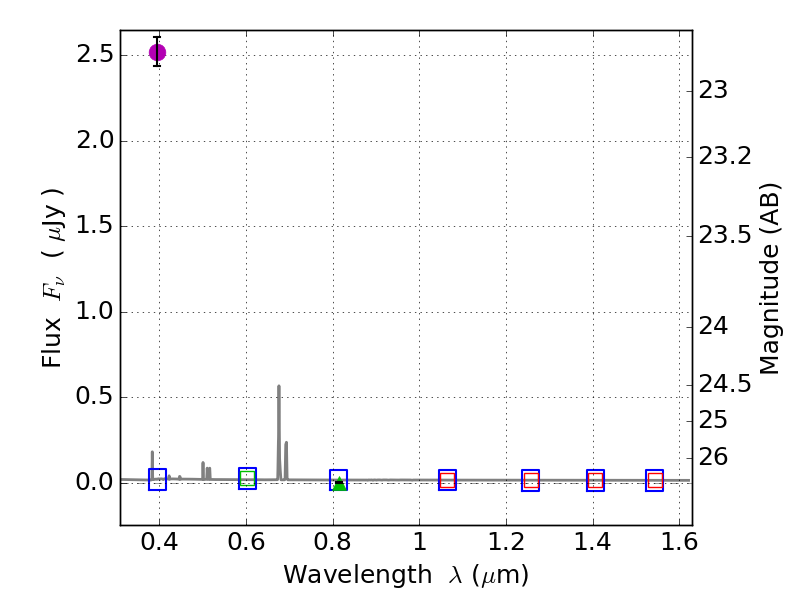
RXS0603+42-S IR detection object #3099

Color images and BPZ results
Catalog: 3099.cat
Black segments are analyzed here.   Roll mouse over color images to view segments.
Best viewed in a wide browser window (1200 pixels or more).   Download SED & P(z) plots to view larger versions.
In P(z) plots: Yellow lines mark the cluster redshift z = 0.228,  

Object #3099   x,y = (1199, 3007)   RA, Dec = (06:03:33.432, 42:10:26.76) = (90.88930, 42.17410)   BPZ = 0.031 [0.019--0.841]   type = 11.00 (SB11_A_0_l)   stellarity = 0.90   chisq2 = 843.00   ODDS = 0.17   z_cluster = 0.228