RXS0603+42-S IR detection object #2555

Color images and BPZ results
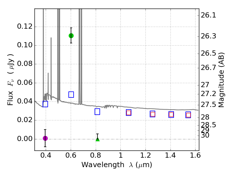
Catalog: 2555.cat
Black segments are analyzed here.   Roll mouse over color images to view segments.
Best viewed in a wide browser window (1200 pixels or more).   Download SED & P(z) plots to view larger versions.
In P(z) plots: Yellow lines mark the cluster redshift z = 0.228,  

Object #2555   x,y = (3971, 3275)   RA, Dec = (06:03:18.480, 42:10:42.96) = (90.82700, 42.17860)   BPZ = 0.023 [0.010--3.071]   type = 11.00 (SB11_A_0_l)   stellarity = 0.49   chisq2 = 89.75   ODDS = 0.90   z_cluster = 0.228