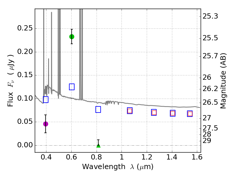
RXS0603+42-S IR detection object #2524

Color images and BPZ results
Catalog: 2524.cat
Black segments are analyzed here.   Roll mouse over color images to view segments.
Best viewed in a wide browser window (1200 pixels or more).   Download SED & P(z) plots to view larger versions.
In P(z) plots: Yellow lines mark the cluster redshift z = 0.228,  

Object #2524   x,y = (3962, 3398)   RA, Dec = (06:03:18.528, 42:10:50.16) = (90.82720, 42.18060)   BPZ = 0.021 [0.010--0.047]   type = 11.00 (SB11_A_0_l)   stellarity = 0.38   chisq2 = 71.26   ODDS = 1.00   z_cluster = 0.228