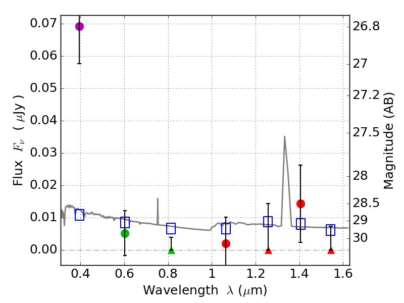
RXS0603+42-S IR detection object #2498

Color images and BPZ results
Catalog: 2498.cat
Black segments are analyzed here.   Roll mouse over color images to view segments.
Best viewed in a wide browser window (1200 pixels or more).   Download SED & P(z) plots to view larger versions.
In P(z) plots: Yellow lines mark the cluster redshift z = 0.228,  

Object #2498   x,y = (3580, 3306)   RA, Dec = (06:03:20.592, 42:10:44.76) = (90.83580, 42.17910)   BPZ = 1.695 [0.350--6.249]   type = 11.00 (SB11_A_0_l)   stellarity = 0.39   chisq2 = 7.43   ODDS = 0.13   z_cluster = 0.228