RXS0603+42-S IR detection object #2329

Color images and BPZ results
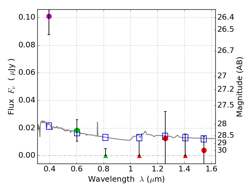
Catalog: 2329.cat
Black segments are analyzed here.   Roll mouse over color images to view segments.
Best viewed in a wide browser window (1200 pixels or more).   Download SED & P(z) plots to view larger versions.
In P(z) plots: Yellow lines mark the cluster redshift z = 0.228,  

Object #2329   x,y = (3294, 3387)   RA, Dec = (06:03:22.128, 42:10:49.44) = (90.84220, 42.18040)   BPZ = 1.699 [0.730--2.553]   type = 11.00 (SB11_A_0_l)   stellarity = 0.36   chisq2 = 11.07   ODDS = 0.29   z_cluster = 0.228