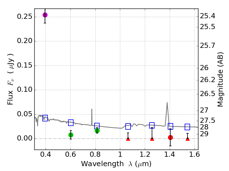
RXS0603+42-S IR detection object #2328

Color images and BPZ results
Catalog: 2328.cat
Black segments are analyzed here.   Roll mouse over color images to view segments.
Best viewed in a wide browser window (1200 pixels or more).   Download SED & P(z) plots to view larger versions.
In P(z) plots: Yellow lines mark the cluster redshift z = 0.228,  

Object #2328   x,y = (3291, 3391)   RA, Dec = (06:03:22.152, 42:10:49.80) = (90.84230, 42.18050)   BPZ = 1.763 [1.319--2.166]   type = 11.00 (SB11_A_0_l)   stellarity = 0.66   chisq2 = 42.92   ODDS = 0.52   z_cluster = 0.228