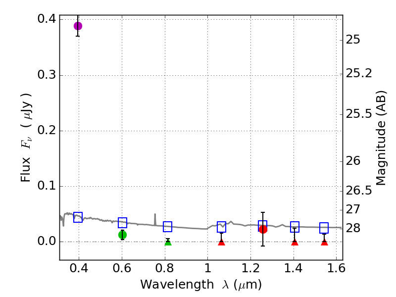
RXS0603+42-S IR detection object #2287

Color images and BPZ results
Catalog: 2287.cat
Black segments are analyzed here.   Roll mouse over color images to view segments.
Best viewed in a wide browser window (1200 pixels or more).   Download SED & P(z) plots to view larger versions.
In P(z) plots: Yellow lines mark the cluster redshift z = 0.228,  

Object #2287   x,y = (3604, 3416)   RA, Dec = (06:03:20.448, 42:10:51.24) = (90.83520, 42.18090)   BPZ = 1.699 [1.436--2.008]   type = 11.00 (SB11_A_0_l)   stellarity = 0.88   chisq2 = 88.26   ODDS = 0.64   z_cluster = 0.228