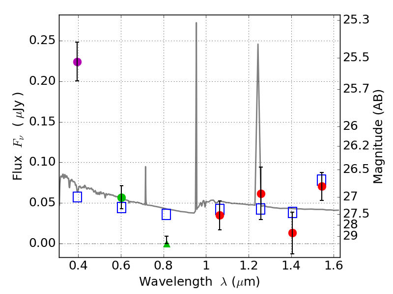
RXS0603+42-S IR detection object #2263

Color images and BPZ results
Catalog: 2263.cat
Black segments are analyzed here.   Roll mouse over color images to view segments.
Best viewed in a wide browser window (1200 pixels or more).   Download SED & P(z) plots to view larger versions.
In P(z) plots: Yellow lines mark the cluster redshift z = 0.228,  

Object #2263   x,y = (2883, 3355)   RA, Dec = (06:03:24.360, 42:10:47.64) = (90.85150, 42.17990)   BPZ = 1.557 [1.292--2.170]   type = 11.00 (SB11_A_0_l)   stellarity = 0.34   chisq2 = 15.06   ODDS = 0.40   z_cluster = 0.228