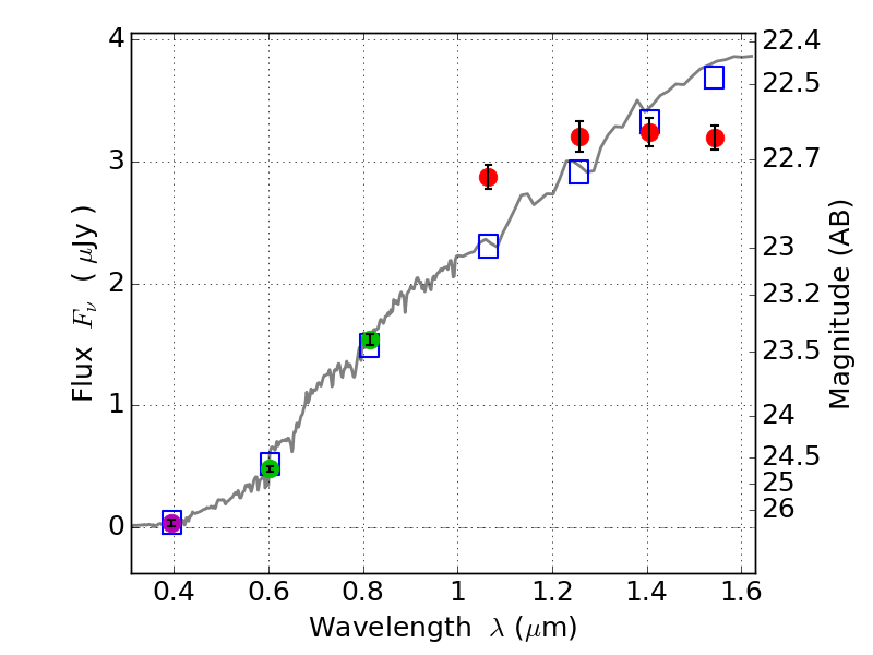
RXS0603+42-S IR detection object #2194

Color images and BPZ results
Catalog: 2194.cat
Black segments are analyzed here.   Roll mouse over color images to view segments.
Best viewed in a wide browser window (1200 pixels or more).   Download SED & P(z) plots to view larger versions.
In P(z) plots: Yellow lines mark the cluster redshift z = 0.228,  

Object #2194   x,y = (1626, 3463)   RA, Dec = (06:03:31.128, 42:10:54.12) = (90.87970, 42.18170)   BPZ = 0.511 [0.380--0.545]   type = 4.00 (Ell4_A_0)   stellarity = 0.97   chisq2 = 2.32   ODDS = 0.91   z_cluster = 0.228