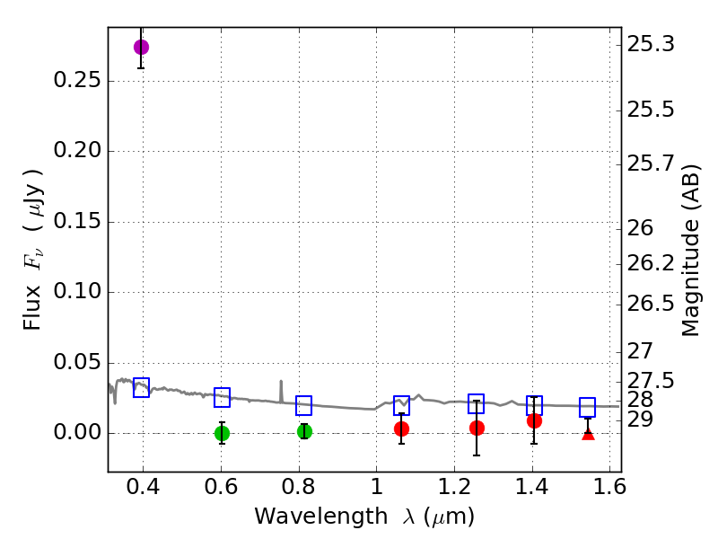
RXS0603+42-S IR detection object #2177

Color images and BPZ results
Catalog: 2177.cat
Black segments are analyzed here.   Roll mouse over color images to view segments.
Best viewed in a wide browser window (1200 pixels or more).   Download SED & P(z) plots to view larger versions.
In P(z) plots: Yellow lines mark the cluster redshift z = 0.228,  

Object #2177   x,y = (2317, 3472)   RA, Dec = (06:03:27.408, 42:10:54.48) = (90.86420, 42.18180)   BPZ = 1.699 [1.357--2.105]   type = 11.00 (SB11_A_0_l)   stellarity = 0.87   chisq2 = 67.32   ODDS = 0.56   z_cluster = 0.228