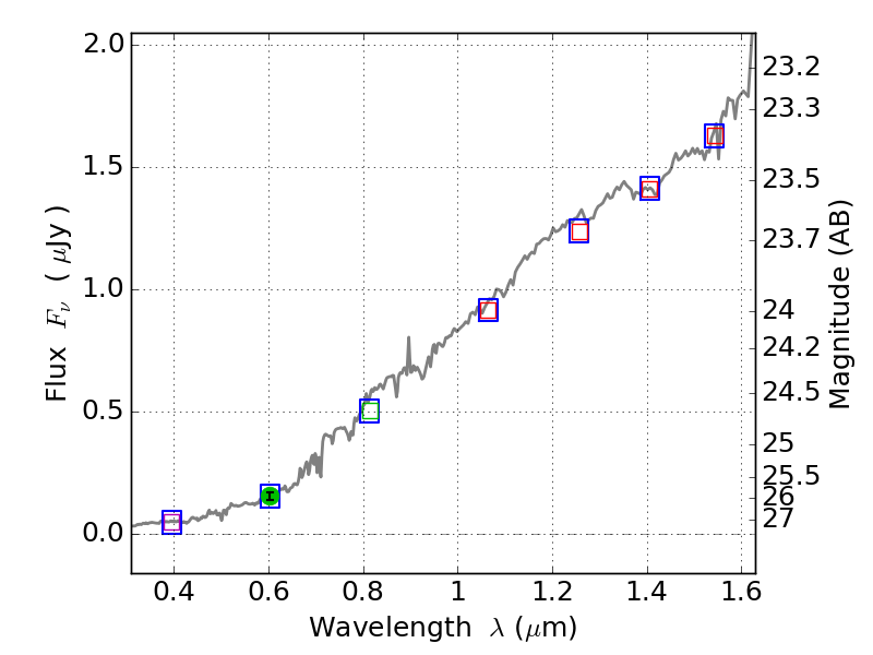
RXS0603+42-S IR detection object #2170

Color images and BPZ results
Catalog: 2170.cat
Black segments are analyzed here.   Roll mouse over color images to view segments.
Best viewed in a wide browser window (1200 pixels or more).   Download SED & P(z) plots to view larger versions.
In P(z) plots: Yellow lines mark the cluster redshift z = 0.228,  

Object #2170   x,y = (4473, 3473)   RA, Dec = (06:03:15.768, 42:10:54.84) = (90.81570, 42.18190)   BPZ = 0.789 [0.203--5.054]   type = 6.00 (Sbc_B10)   stellarity = 0.10   chisq2 = 990.00   ODDS = 0.08   z_cluster = 0.228