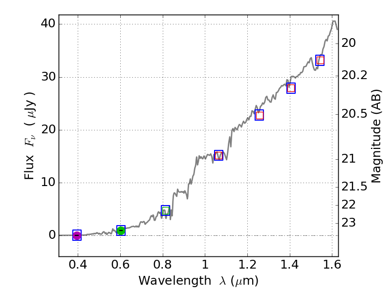
RXS0603+42-S IR detection object #213

Color images and BPZ results
Catalog: 213.cat
Black segments are analyzed here.   Roll mouse over color images to view segments.
Best viewed in a wide browser window (1200 pixels or more).   Download SED & P(z) plots to view larger versions.
In P(z) plots: Yellow lines mark the cluster redshift z = 0.228,  

Object #213   x,y = (1872, 4228)   RA, Dec = (06:03:29.808, 42:11:40.20) = (90.87420, 42.19450)   BPZ = 1.128 [0.534--3.722]   type = 5.00 (ES0_B10)   stellarity = 0.91   chisq2 = 0.00   ODDS = 0.20   z_cluster = 0.228