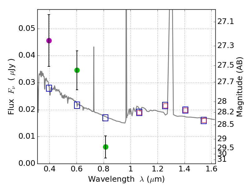
RXS0603+42-S IR detection object #2106

Color images and BPZ results
Catalog: 2106.cat
Black segments are analyzed here.   Roll mouse over color images to view segments.
Best viewed in a wide browser window (1200 pixels or more).   Download SED & P(z) plots to view larger versions.
In P(z) plots: Yellow lines mark the cluster redshift z = 0.228,  

Object #2106   x,y = (3735, 3498)   RA, Dec = (06:03:19.752, 42:10:56.28) = (90.83230, 42.18230)   BPZ = 1.596 [1.164--2.506]   type = 11.00 (SB11_A_0_l)   stellarity = 0.37   chisq2 = 11.95   ODDS = 0.24   z_cluster = 0.228