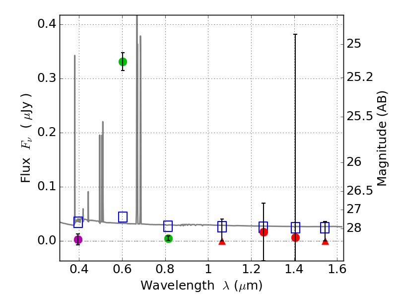
RXS0603+42-S IR detection object #2092

Color images and BPZ results
Catalog: 2092.cat
Black segments are analyzed here.   Roll mouse over color images to view segments.
Best viewed in a wide browser window (1200 pixels or more).   Download SED & P(z) plots to view larger versions.
In P(z) plots: Yellow lines mark the cluster redshift z = 0.228,  

Object #2092   x,y = (1601, 3502)   RA, Dec = (06:03:31.272, 42:10:56.28) = (90.88030, 42.18230)   BPZ = 0.023 [0.010--3.041]   type = 11.00 (SB11_A_0_l)   stellarity = 0.70   chisq2 = 79.63   ODDS = 0.86   z_cluster = 0.228