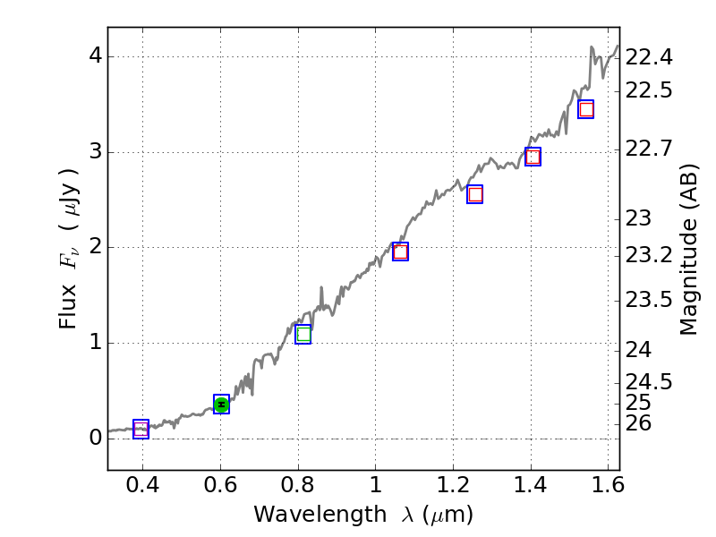
RXS0603+42-S IR detection object #209

Color images and BPZ results
Catalog: 209.cat
Black segments are analyzed here.   Roll mouse over color images to view segments.
Best viewed in a wide browser window (1200 pixels or more).   Download SED & P(z) plots to view larger versions.
In P(z) plots: Yellow lines mark the cluster redshift z = 0.228,  

Object #209   x,y = (2368, 4254)   RA, Dec = (06:03:27.120, 42:11:41.64) = (90.86300, 42.19490)   BPZ = 0.723 [0.180--4.288]   type = 6.00 (Sbc_B10)   stellarity = 0.65   chisq2 = 990.00   ODDS = 0.09   z_cluster = 0.228