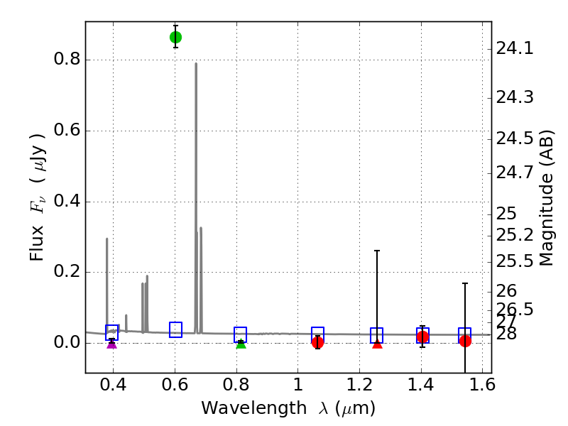
RXS0603+42-S IR detection object #2080

Color images and BPZ results
Catalog: 2080.cat
Black segments are analyzed here.   Roll mouse over color images to view segments.
Best viewed in a wide browser window (1200 pixels or more).   Download SED & P(z) plots to view larger versions.
In P(z) plots: Yellow lines mark the cluster redshift z = 0.228,  

Object #2080   x,y = (1599, 3509)   RA, Dec = (06:03:31.272, 42:10:57.00) = (90.88030, 42.18250)   BPZ = 0.025 [0.011--3.091]   type = 11.00 (SB11_A_0_l)   stellarity = 0.94   chisq2 = 186.90   ODDS = 0.68   z_cluster = 0.228