RXS0603+42-S IR detection object #2061

Color images and BPZ results
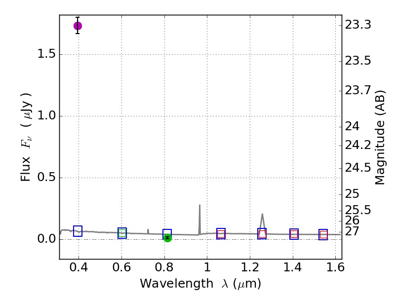
Catalog: 2061.cat
Black segments are analyzed here.   Roll mouse over color images to view segments.
Best viewed in a wide browser window (1200 pixels or more).   Download SED & P(z) plots to view larger versions.
In P(z) plots: Yellow lines mark the cluster redshift z = 0.228,  

Object #2061   x,y = (1411, 3516)   RA, Dec = (06:03:32.304, 42:10:57.36) = (90.88460, 42.18260)   BPZ = 1.594 [1.290--2.117]   type = 11.00 (SB11_A_0_l)   stellarity = 1.00   chisq2 = 662.70   ODDS = 0.40   z_cluster = 0.228