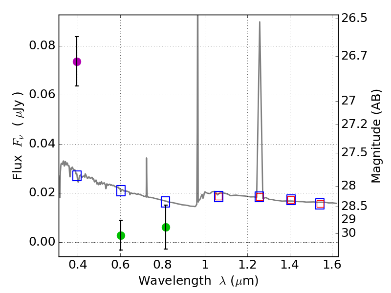
RXS0603+42-S IR detection object #2033

Color images and BPZ results
Catalog: 2033.cat
Black segments are analyzed here.   Roll mouse over color images to view segments.
Best viewed in a wide browser window (1200 pixels or more).   Download SED & P(z) plots to view larger versions.
In P(z) plots: Yellow lines mark the cluster redshift z = 0.228,  

Object #2033   x,y = (4066, 3528)   RA, Dec = (06:03:17.952, 42:10:58.08) = (90.82480, 42.18280)   BPZ = 1.593 [0.768--2.277]   type = 11.00 (SB11_A_0_l)   stellarity = 0.40   chisq2 = 30.29   ODDS = 0.19   z_cluster = 0.228