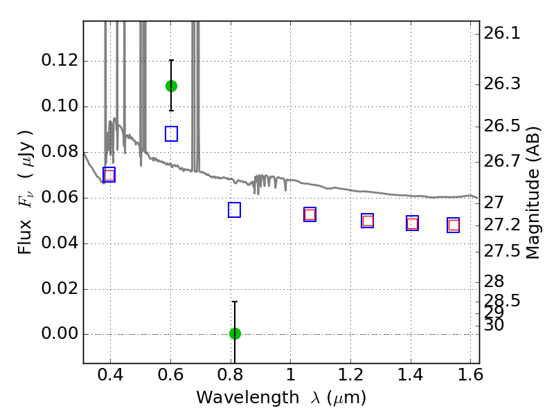
RXS0603+42-S IR detection object #187

Color images and BPZ results
Catalog: 187.cat
Black segments are analyzed here.   Roll mouse over color images to view segments.
Best viewed in a wide browser window (1200 pixels or more).   Download SED & P(z) plots to view larger versions.
In P(z) plots: Yellow lines mark the cluster redshift z = 0.228,  

Object #187   x,y = (2364, 4209)   RA, Dec = (06:03:27.144, 42:11:38.76) = (90.86310, 42.19410)   BPZ = 0.027 [0.024--3.042]   type = 11.00 (SB11_A_0_l)   stellarity = 0.84   chisq2 = 15.51   ODDS = 0.07   z_cluster = 0.228