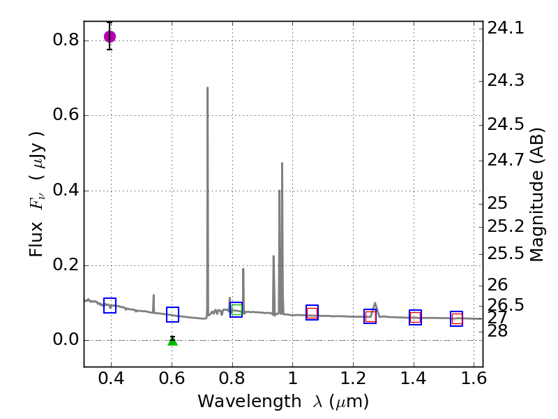
RXS0603+42-S IR detection object #1816

Color images and BPZ results
Catalog: 1816.cat
Black segments are analyzed here.   Roll mouse over color images to view segments.
Best viewed in a wide browser window (1200 pixels or more).   Download SED & P(z) plots to view larger versions.
In P(z) plots: Yellow lines mark the cluster redshift z = 0.228,  

Object #1816   x,y = (4113, 3603)   RA, Dec = (06:03:17.712, 42:11:02.40) = (90.82380, 42.18400)   BPZ = 0.930 [0.894--10.577]   type = 11.00 (SB11_A_0_l)   stellarity = 0.65   chisq2 = 436.10   ODDS = 0.39   z_cluster = 0.228