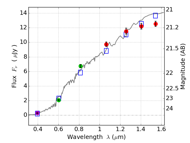
RXS0603+42-S IR detection object #1808

Color images and BPZ results
Catalog: 1808.cat
Black segments are analyzed here.   Roll mouse over color images to view segments.
Best viewed in a wide browser window (1200 pixels or more).   Download SED & P(z) plots to view larger versions.
In P(z) plots: Yellow lines mark the cluster redshift z = 0.228,  

Object #1808   x,y = (3487, 3603)   RA, Dec = (06:03:21.096, 42:11:02.40) = (90.83790, 42.18400)   BPZ = 0.446 [0.333--0.479]   type = 4.00 (Ell4_A_0)   stellarity = 1.00   chisq2 = 0.88   ODDS = 0.83   z_cluster = 0.228