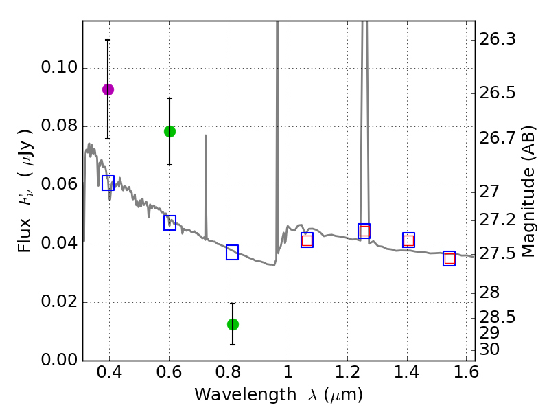
RXS0603+42-S IR detection object #1414

Color images and BPZ results
Catalog: 1414.cat
Black segments are analyzed here.   Roll mouse over color images to view segments.
Best viewed in a wide browser window (1200 pixels or more).   Download SED & P(z) plots to view larger versions.
In P(z) plots: Yellow lines mark the cluster redshift z = 0.228,  

Object #1414   x,y = (2919, 3738)   RA, Dec = (06:03:24.144, 42:11:10.68) = (90.85060, 42.18630)   BPZ = 1.595 [1.291--2.361]   type = 11.00 (SB11_A_0_l)   stellarity = 0.34   chisq2 = 19.15   ODDS = 0.30   z_cluster = 0.228