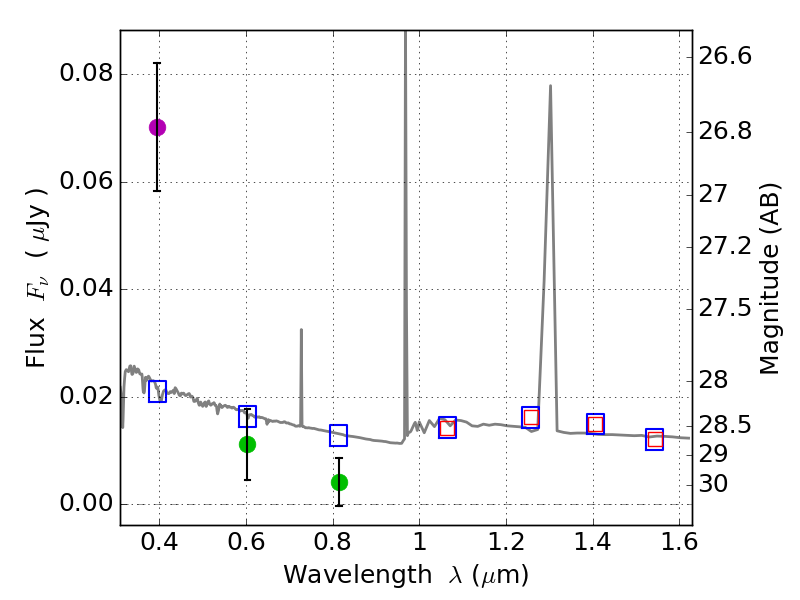
RXS0603+42-S IR detection object #1364

Color images and BPZ results
Catalog: 1364.cat
Black segments are analyzed here.   Roll mouse over color images to view segments.
Best viewed in a wide browser window (1200 pixels or more).   Download SED & P(z) plots to view larger versions.
In P(z) plots: Yellow lines mark the cluster redshift z = 0.228,  

Object #1364   x,y = (2118, 3753)   RA, Dec = (06:03:28.488, 42:11:11.40) = (90.86870, 42.18650)   BPZ = 1.596 [0.694--2.603]   type = 11.00 (SB11_A_0_l)   stellarity = 0.46   chisq2 = 20.69   ODDS = 0.20   z_cluster = 0.228