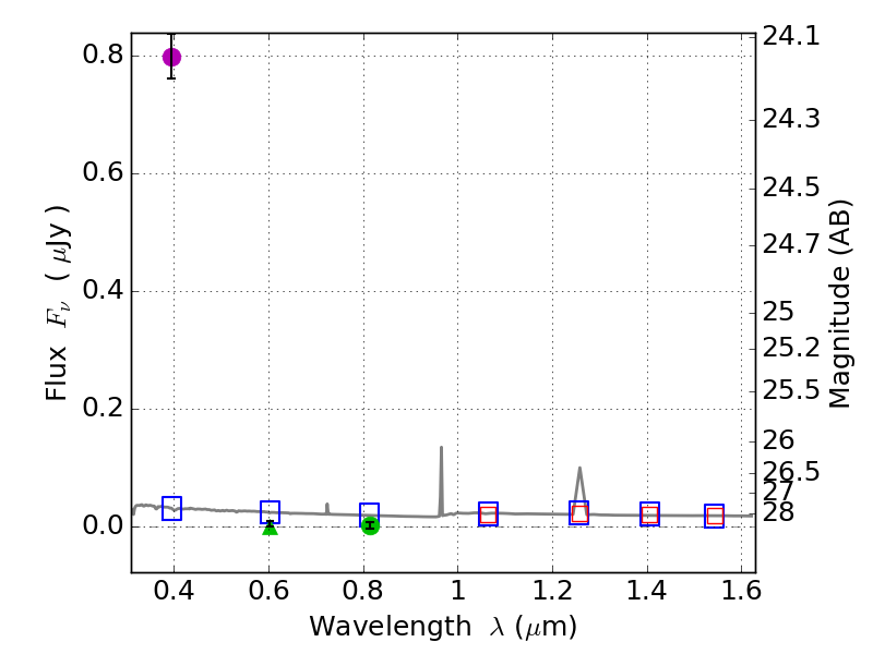
RXS0603+42-S IR detection object #1355

Color images and BPZ results
Catalog: 1355.cat
Black segments are analyzed here.   Roll mouse over color images to view segments.
Best viewed in a wide browser window (1200 pixels or more).   Download SED & P(z) plots to view larger versions.
In P(z) plots: Yellow lines mark the cluster redshift z = 0.228,  

Object #1355   x,y = (3660, 3758)   RA, Dec = (06:03:20.160, 42:11:11.76) = (90.83400, 42.18660)   BPZ = 1.595 [1.011--2.295]   type = 11.00 (SB11_A_0_l)   stellarity = 0.67   chisq2 = 439.80   ODDS = 0.28   z_cluster = 0.228